论文题目:Non-negligible contribution of subordinates in community-level litter decomposition: deciduous trees in an evergreen world
论文作者:Chao Guo, J. Hans C. Cornelissen, Bin Tuo, Hang Ci, En-Rong Yan

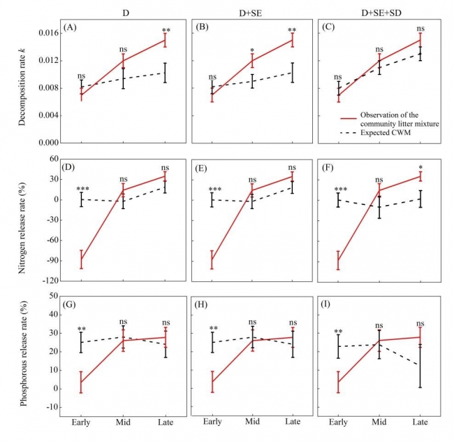
图1. 不同演替阶段群落凋落物分解速率和养分释放速率的观测值与期望值对照。优势种(D: A, D, G)、优势种加常绿附属种(D+SE: B, E, H),优势种加上常绿附属种、落叶附属种(D+SE+SD: C, F, I)。*表示在同一演替阶段分解速率或养分释放的期望值与观测值之间有显著差异。ns 表示无显著性差异。 *** p < 0.001, ** p < 0.01, * p < 0.05
结果表明,无论是否包含常绿附属种,仅基于常绿优势种预测的群落加权值在演替中后期均显著偏离实际观测的混合凋落物分解速率,但在演替前期无差别。当同时考虑落叶附属种时,各演替阶段预测的群落加权值与混合凋落物分解率的观测值间无显著差异(图1)。

图2. 三个演替阶段中CWMD、CWMSE和CWMSD三种不同优势状态物种对群落凋落物分解速率的贡献。黑点代表固定效应因子的大小和方向,由线性混合模型中固定效应因子的斜率和标准误差得到。模型的固定效应和整体解释由R2m和R2c表示。
结果表明,落叶附属种单独对演替前、中和后期群落混合凋落物分解速率变异的解释率分别为7%、21%和15%,比较而言,其远超凋落物质量组分(或多度)在群落中的贡献(图2)。

论文作者:Chao Guo, J. Hans C. Cornelissen, Bin Tuo, Hang Ci, En-Rong Yan
文章简介:
虽然附属种多度远低于优势种,但当两者关键性状差异较大时,附属种可能对群落功能多样性和生态系统功能具有不可忽视的贡献。本研究探索了该现象是否体现在凋落物分解这一群落碳周转和养分循环关键过程中。我们提出科学假说:当群落优势种与附属种性状差异明显时,仅基于优势种加权预测的群落凋落物分解速率会显著偏离于实际观测值,但是,在叠加附属种的权重后,预测性则会显著提高。我们在亚热带常绿阔叶林演替系列开展了一年的凋落物分解实验验证以上科学假说。三个演替阶段的实验处理包括:常绿优势种、常绿附属种、落叶附属种单独以及群落凋落物混合。优势种和附属种的群落权重根据各自的凋落物年归还量获得,质量分数>50%为优势种,<10%为附属种。

结果表明,无论是否包含常绿附属种,仅基于常绿优势种预测的群落加权值在演替中后期均显著偏离实际观测的混合凋落物分解速率,但在演替前期无差别。当同时考虑落叶附属种时,各演替阶段预测的群落加权值与混合凋落物分解率的观测值间无显著差异(图1)。

结果表明,落叶附属种单独对演替前、中和后期群落混合凋落物分解速率变异的解释率分别为7%、21%和15%,比较而言,其远超凋落物质量组分(或多度)在群落中的贡献(图2)。

图3. 附属种与优势种间的性状不相似性对附属种在生态系统功能中重要性影响的概念模型。
为了给后续研究提供引导,我们提出一个概念模型,附属种对生态系统功能的重要性主要体现在附属种和优势种之间的性状不相似方面(图3)。随着附属种与优势种的性状不相似性增加,群落凋落物分解速率的观测值与仅基于优势种预测的分解率之间的偏差也会相应增加。此外,附属种的多度(从刚刚超过零到占整个群落丰度/覆盖度的10%)也会影响附属种的相对重要性。总之,相对常绿优势种而言,落叶附属种以较小的多度但差异明显的叶片养分和持水量功能属性,对群落水平的凋落物分解具有显著影响。本研究强调了附属种的特异性在生态系统碳循环中的重要作用。
全文链接:https://doi.org/10.1111/1365-2745.13341
该论文发表在SCI一区刊物Journal of Ecology(影响因子:5.762)上。我公司郭超为第一作者,阎恩荣为通讯作者。

